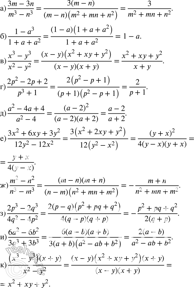
Упр.494 ГДЗ Никольский Потапов 7 класс (Алгебра)
Решение #1

Рассмотрим вариант решения задания из учебника Никольский, Потапов 7 класс, Просвещение:
494 а) (3m-3n)/(m3-n3);
б) (1/a3)/(1+a+a2);
в) (x3-y3)/(x2-y2);
г) (2p2-2p+2)/(p3+1);
д) (a2-4a+4)/(a2-4);
е) (3x2+6xy+3y2)/(12y2-12x2);
ж) (m2-n2)/(n3-m3);
з) (2p3-2q3)/(4a2-4p2);
и) (6a2-6b2)/(3a3+3b3);
к) (x3-y3)(x+y)/(x2-y2).
*размещая тексты в комментариях ниже, вы автоматически соглашаетесь с пользовательским соглашением