Упр.5.1 ГДЗ Мордкович Семенов 7 класс (Алгебра)
Решение #1

Рассмотрим вариант решения задания из учебника Мордкович, Семенов, Александрова 7 класс, Бином:
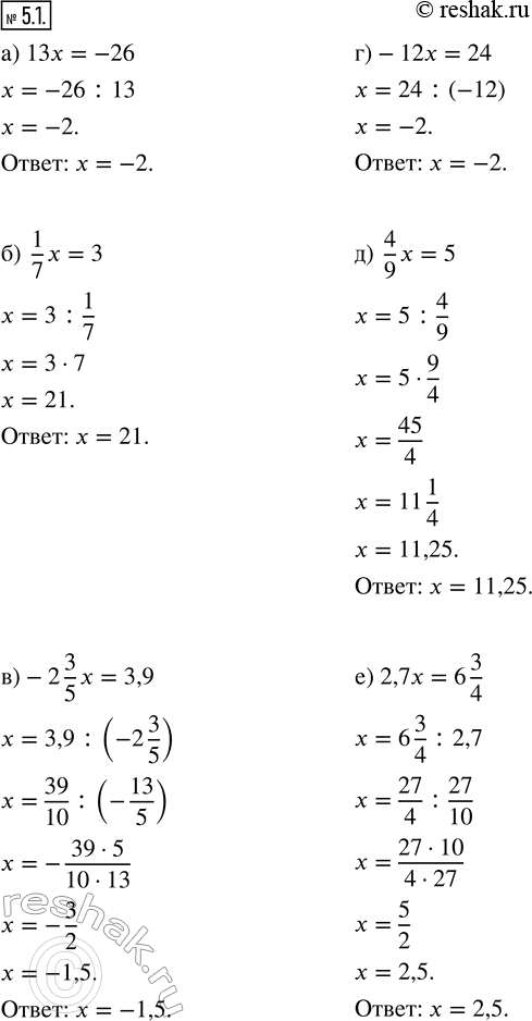
5.1. Решите уравнение.
а) 13x = -26; г) -12x = 24;
б) 1/7 x = 3; д) 4/9 x = 5;
в) -2 3/5 x = 3,9; е) 2,7x = 6 3/4.
*размещая тексты в комментариях ниже, вы автоматически соглашаетесь с пользовательским соглашением