Упр.502 ГДЗ Колягин Ткачёва 8 класс (Алгебра)
Решение #1

Рассмотрим вариант решения задания из учебника Колягин, Ткачёва, Фёдорова 8 класс, Просвещение:
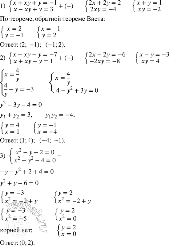
502. Решить систему уравнений:
1) {(x+xy+y=-1
x-xy+y=3)+
2) {(x-xy-y=-7
x+xy-y=1)+
3) {(x^2-y+2=0
x^2+y^2-4=0)+
4) {(x^2-3xy+y^2=11
xy=5)+
*размещая тексты в комментариях ниже, вы автоматически соглашаетесь с пользовательским соглашением