Упр.512 ГДЗ Никольский Потапов 7 класс (Алгебра)
Решение #1

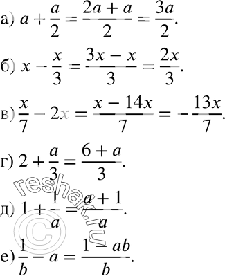
Рассмотрим вариант решения задания из учебника Никольский, Потапов 7 класс, Просвещение:
512 Запишите выражение в виде дроби:
а) a+a/2;
б) x-x/3;
в) x/7-2x;
г) 2+a/3;
д) 1+1/a;
е) 1/b-a.
*размещая тексты в комментариях ниже, вы автоматически соглашаетесь с пользовательским соглашением