Упр.515 ГДЗ Никольский Потапов 7 класс (Алгебра)
Решение #1

Рассмотрим вариант решения задания из учебника Никольский, Потапов 7 класс, Просвещение:
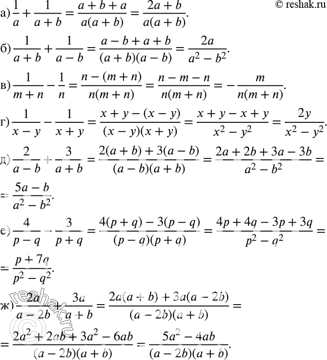
515 а) 1/a+1/(a+b);
б) 1/(a+b) + 1/(a-b);
в) 1/(m+n)-1/n;
г) 1/(x-y) - 1/(x+y);
д) 2/(a-b) + 3/(a+b);
е) 4/(p-q) - 3/(p+q);
ж) 2a/(a-2b) + 3a/(a+b);
з) 3x/(x-y)-2x/(2x-y);
и) 5m/(2m-n) - 3m/(n-m);
к) 4p/(q-2p)-2p/(2p+q);
л) 7/(2x-y) - 5/(y-2x);
м) 5/x(x-3y) + (4x+3y)/(3y-x).
*размещая тексты в комментариях ниже, вы автоматически соглашаетесь с пользовательским соглашением