Упр.540 ГДЗ Муравин 7 класс (Алгебра)
Решение #1

Рассмотрим вариант решения задания из учебника Муравин, Муравина 7 класс, Дрофа:
540. Разложите на множители:
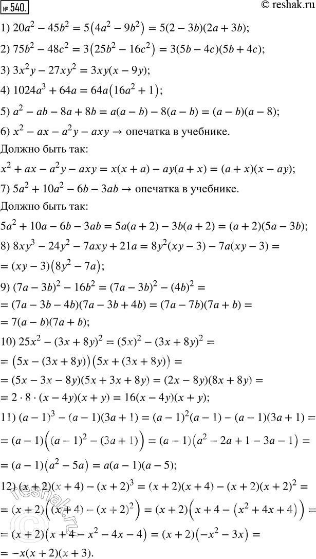
1) 20а^2 - 45b^2; 7) 5а^2 + 10а^2 - 6b - 3аb;
2) 75b^2 - 48с^2; 8) 8ху^3 - 24а^2 - 7аху + 21а;
3) 3х^2 у - 27ху^2; 9) (7а - 3b)^2 - 16b^2;
4) 1024а^3 + 64а; 10) 25x^2 - (3x + 8у)^2;
5) а^2 - аb - 8а + 8b; 11) (а - 1)^3 - (а - 1)(3а + 1);
6) х^2 - ах - а^2 у - аху; 12) (Х + 2)(х + 4) - (x + 2)^3.
*размещая тексты в комментариях ниже, вы автоматически соглашаетесь с пользовательским соглашением