Упр.545 ГДЗ Никольский Потапов 7 класс (Алгебра)
Решение #1

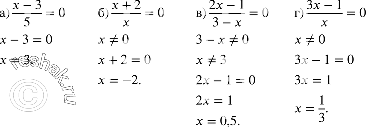
Рассмотрим вариант решения задания из учебника Никольский, Потапов 7 класс, Просвещение:
545 Запишите алгебраическую дробь, значение которой равно нулю при х, равном:
а) 3; б) -2; в) 0,5; г) 1/3.
*размещая тексты в комментариях ниже, вы автоматически соглашаетесь с пользовательским соглашением