Упр.548 ГДЗ Дорофеев Суворова 8 класс (Алгебра)
Решение #1

Рассмотрим вариант решения задания из учебника Дорофеев, Суворова, Бунимович 8 класс, Просвещение:
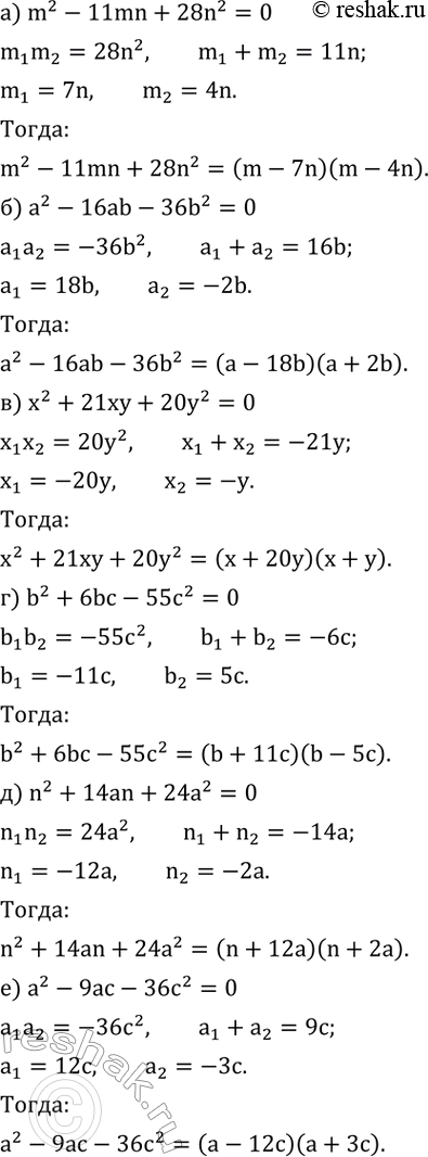
548. Разложите на множители:
а) m^2-11mn+28n^2;
б) a^2-16ab-36b^2;
в) x^2+21xy+20y^2;
г) b^2+6bc-55c^2;
д) n^2+14an+24a^2;
е) a^2-9ac-36c^2.
*размещая тексты в комментариях ниже, вы автоматически соглашаетесь с пользовательским соглашением