Упр.550 ГДЗ Дорофеев Суворова 9 класс (Алгебра)
Решение #1

Рассмотрим вариант решения задания из учебника Дорофеев, Суворова, Бунимович 9 класс, Просвещение:
Решите систему уравнений (550—553).
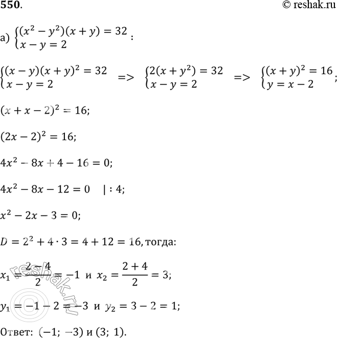
550.
а) (x^2 - y^2)(x + y) = 32 и x - y = 2;
б) (x^2 - y^2)(x - y) = 20 и x + y = 5.
*размещая тексты в комментариях ниже, вы автоматически соглашаетесь с пользовательским соглашением