Упр.558 ГДЗ Дорофеев Суворова 7 класс (Алгебра)
Решение #1

Рассмотрим вариант решения задания из учебника Дорофеев, Суворова, Бунимович 10-11 класс, Просвещение:
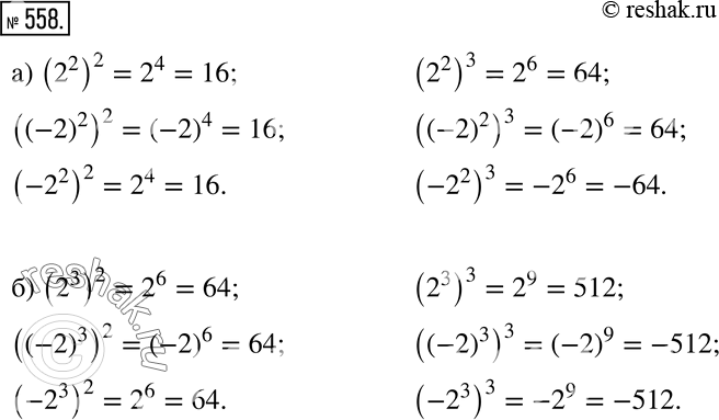
558 Возведите в квадрат и в куб выражение:
а) 2^2, (-2)2, -2^2;
б) 2^3, (-2)3, -2^3.
*размещая тексты в комментариях ниже, вы автоматически соглашаетесь с пользовательским соглашением