Упр.56 ГДЗ Дорофеев Суворова 9 класс (Алгебра)
Решение #1

Рассмотрим вариант решения задания из учебника Дорофеев, Суворова, Бунимович 9 класс, Просвещение:
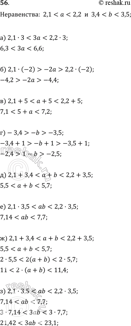
56. Известно, что 2,1<а<2,2 и 3,4
а) За; в) 5+а; д) а+b; ж) 2(a+b);
б) -2а; г) 1-b; е) ab; з) Заb.
*размещая тексты в комментариях ниже, вы автоматически соглашаетесь с пользовательским соглашением