Упр.562 ГДЗ Макарычев Миндюк 9 класс (Углубленный) (Алгебра)
Решение #1

Рассмотрим вариант решения задания из учебника Макарычев, Миндюк, Нешков 9 класс, Просвещение:
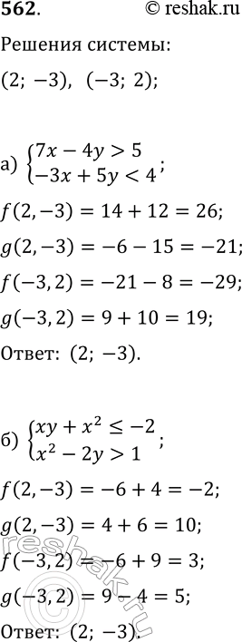
562. Являются ли пары (2; —3) и (—3; 2) решениями системы неравенств:
а) {7x-4y>5, -3x+5y<4}; б) {xy+x^2?-2, x^2-2y>1}?
*размещая тексты в комментариях ниже, вы автоматически соглашаетесь с пользовательским соглашением