Упр.566 ГДЗ Дорофеев Суворова 8 класс (Алгебра)
Решение #1

Рассмотрим вариант решения задания из учебника Дорофеев, Суворова, Бунимович 8 класс, Просвещение:
566. Докажите, что:
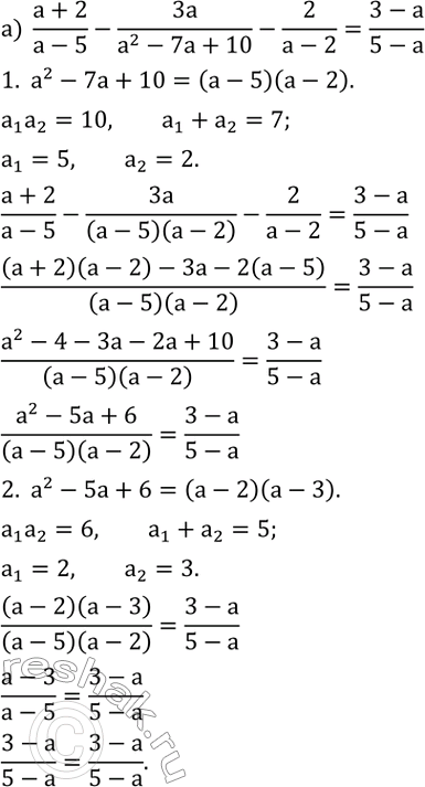
а) (a+2)/(a-5)-3a/(a^2-7a+10)-2/(a-2)=(3-a)/(5-a);
б) 1+(a-4)/(a-3)-a/(a+4)-7a/(a^2+a-12)=(a-7)/(a-3).
*размещая тексты в комментариях ниже, вы автоматически соглашаетесь с пользовательским соглашением