Упр.6 ГДЗ Дорофеев Суворова 7 класс (Алгебра)
Решение #1

Рассмотрим вариант решения задания из учебника Дорофеев, Суворова, Бунимович 10-11 класс, Просвещение:
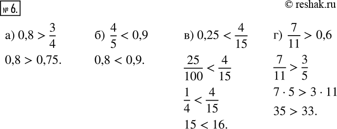
6 Сравните числа:
а) 0,8 и 3/4;
б) 4/5 и 0,9;
в) 0,25 и 4/15;
г) 7/11 и 0,6.
*размещая тексты в комментариях ниже, вы автоматически соглашаетесь с пользовательским соглашением