Упр.618 ГДЗ Дорофеев Суворова 7 класс (Алгебра)
Решение #1

Рассмотрим вариант решения задания из учебника Дорофеев, Суворова, Бунимович 10-11 класс, Просвещение:
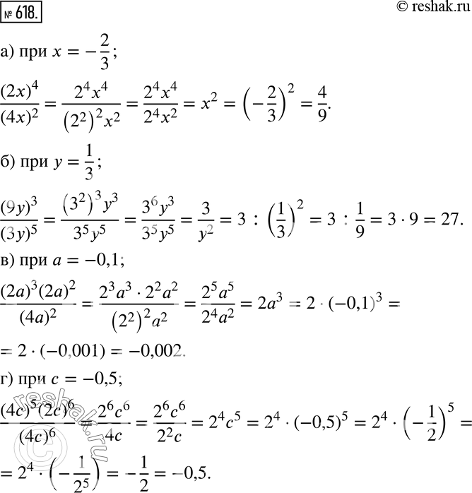
618 Найдите значение выражения при заданных значениях переменной:
а) (2x)4/(4x)2 при x=-2/3;
б) (9y)3/(3y)5 при y=1/3;
в) (2a)3(2a)2 при a=-0,1;
г) (4c)5(2c)6/(4c)6 при c=-0,5.
*размещая тексты в комментариях ниже, вы автоматически соглашаетесь с пользовательским соглашением