Упр.664 ГДЗ Дорофеев Суворова 9 класс (Алгебра)
Решение #1

Рассмотрим вариант решения задания из учебника Дорофеев, Суворова, Бунимович 9 класс, Просвещение:
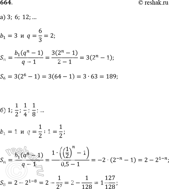
664.
а) Дана геометрическая прогрессия 3; 6; 12; ... . Найдите S_6; S_n.
б) Дана геометрическая прогрессия 1; 1/2; 1/4; 1/8; ... . Найдите S_8; S_n.
*размещая тексты в комментариях ниже, вы автоматически соглашаетесь с пользовательским соглашением