Упр.676 ГДЗ Никольский Потапов 7 класс (Алгебра)
Решение #1

Рассмотрим вариант решения задания из учебника Никольский, Потапов 7 класс, Просвещение:
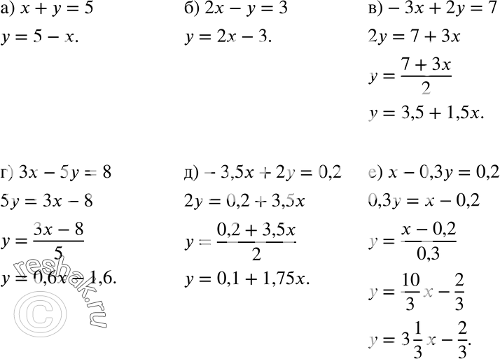
Выразите у через х из уравнения (676—677):
676. а) х + у = 5;
б) 2х - у = 3;
в) -Зх + 2у = 7;
г) Зх - 5у = 8;
д) -3,5x + 2у = 0,2;
е) х - 0,3у = 0,2.
*размещая тексты в комментариях ниже, вы автоматически соглашаетесь с пользовательским соглашением