Упр.688 ГДЗ Дорофеев Суворова 7 класс (Алгебра)
Решение #1

Рассмотрим вариант решения задания из учебника Дорофеев, Суворова, Бунимович 10-11 класс, Просвещение:
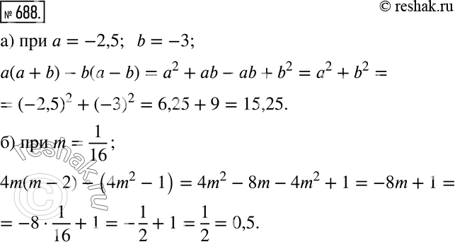
688 Применяем алгебру Найдите значение выражения при заданных значениях переменных:
а) а(а + b) - b(а - b) при а = -2,5, b = -3;
б) 4m(m - 2) - (4m2 - 1) при m = 1/16.
*размещая тексты в комментариях ниже, вы автоматически соглашаетесь с пользовательским соглашением