Упр.697 ГДЗ Никольский Потапов 8 класс (Алгебра)
Решение #1

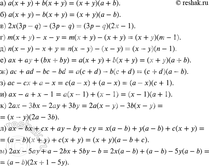
Рассмотрим вариант решения задания из учебника Никольский, Потапов 8 класс, Просвещение:
697. а) а (х + у) + b (х + у);
б) а(х + у) - b(х + у);
в) 2х(3р - у) - (3р - у);
г) m(х + у) - х - у;
д) n (х - у) - х + у;
е) ах + ау + (bх + by);
ж) ас + ad - bc - bd;
з) ас - сх + а - х;
и) ах - а + х - 1;
л) ах - bх + сх + ay - by + су;
м) 2ах - 5ау + а - 2bх + 5bу - b.
к) 2ах - 3bх - 2ау + 3by;
*размещая тексты в комментариях ниже, вы автоматически соглашаетесь с пользовательским соглашением