Упр.71 ГДЗ Дорофеев Суворова 8 класс (Алгебра)
Решение #1

Рассмотрим вариант решения задания из учебника Дорофеев, Суворова, Бунимович 8 класс, Просвещение:
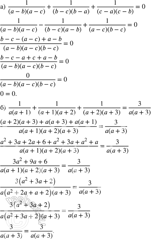
71. Докажите,что:
а) 1/(a-b)(a-c) +1/(b-c)(b-a) +1/(c-a)(c-b) =0;
б) 1/a(a+1) +1/(a+1)(a+2) +1/(a+2)(a+3) =3/a(a+3) .
*размещая тексты в комментариях ниже, вы автоматически соглашаетесь с пользовательским соглашением