Упр.711 ГДЗ Колягин Ткачёва 8 класс (Алгебра)
Решение #1

Рассмотрим вариант решения задания из учебника Колягин, Ткачёва, Фёдорова 8 класс, Просвещение:
711. Решить уравнение:
1) |x-2|=3,4;
2) |3-x|=5,1;
3) |2x+1|=5;
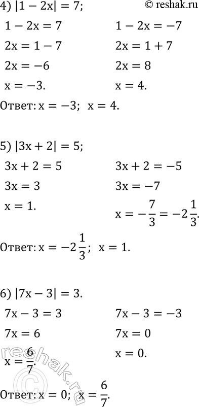
4) |1-2x|=7;
5) |3x+2|=5;
6) |7x-3|=3.
*размещая тексты в комментариях ниже, вы автоматически соглашаетесь с пользовательским соглашением