Упр.711 ГДЗ Мерзляк Полонский 7 класс (Алгебра)
Решение #1
Решение #2

Рассмотрим вариант решения задания из учебника Мерзляк, Полонская, Якир 7 класс, Вентана-Граф:
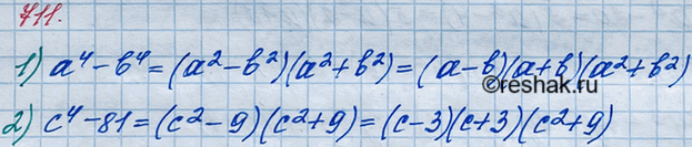
711. Представьте в виде произведения многочлен:
1) а4 - 64;
2) с4-81.
*размещая тексты в комментариях ниже, вы автоматически соглашаетесь с пользовательским соглашением