Упр.723 ГДЗ Никольский Потапов 7 класс (Алгебра)
Решение #1

Рассмотрим вариант решения задания из учебника Никольский, Потапов 7 класс, Просвещение:
Решите систему уравнений (723—725):
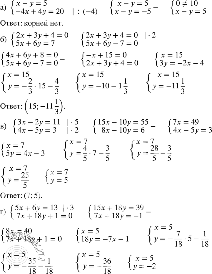
723 а) система
x-y=5,
-4x+4y=20;
б) система
2x+3y+4=0,
5x+6y=7;
в) система
3x-2y=11,
4x-5y=3;
г) система
5x+6y=13,
7x+18y+1=0;
д) система
7x+6y=1,5,
4x-9y-5=0;
е) система
3x+4y=3,5,
-3x-4y=40.
*размещая тексты в комментариях ниже, вы автоматически соглашаетесь с пользовательским соглашением