Упр.741 ГДЗ Дорофеев Суворова 9 класс (Алгебра)
Решение #1

Рассмотрим вариант решения задания из учебника Дорофеев, Суворова, Бунимович 9 класс, Просвещение:
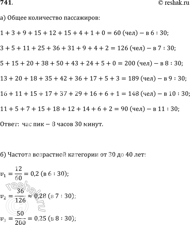
741. На некотором маршруте метрополитена провели исследование пассажиропотока. Для этого каждый час в случайно выбранном вагоне электропоезда на протяжении всего пути считали число пассажиров разных возрастов. Результаты исследования представлены в следующей таблице:
а) Определите час пик — время, когда в вагоне едет максимальное число людей.
б) Найдите время, когда частота возрастной категории от 30 до 40 лет максимальна.
в) Какой процент от всех пассажиров вагона, отправившегося в 11 ч 30 мин, составляют люди в возрасте от 20 до 50 лет?
*размещая тексты в комментариях ниже, вы автоматически соглашаетесь с пользовательским соглашением