Упр.753 ГДЗ Дорофеев Суворова 7 класс (Алгебра)
Решение #1

Рассмотрим вариант решения задания из учебника Дорофеев, Суворова, Бунимович 10-11 класс, Просвещение:
Выделите квадрат двучлена (753—754).
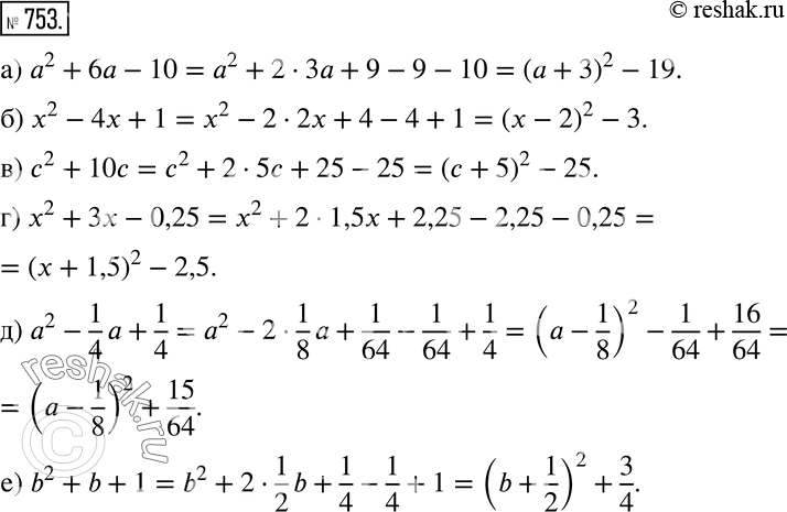
753 а) а2 + 6а - 10;
б) х2 - 4х + 1;
в) с2 + 10с;
г) х2 + 3х - 0,25;
д) а2 - 1/4*a + 1/4;
е) b2 + b + 1.
Образец.
x2- 8х + 9 = x2- 2 * 4 * х + 16 - 16 + 9 = (х - 4)2- 7.
*размещая тексты в комментариях ниже, вы автоматически соглашаетесь с пользовательским соглашением