Упр.755 ГДЗ Дорофеев Суворова 8 класс (Алгебра)
Решение #1

Рассмотрим вариант решения задания из учебника Дорофеев, Суворова, Бунимович 8 класс, Просвещение:
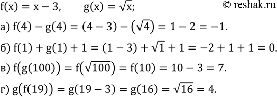
755. Пусть f(x)=x-3, g(x)=vx. Найдите:
а) f(4)-g(4);
б) f(1)+g(1)+1;
в) f(g(100));
г) g(f(19)).
*размещая тексты в комментариях ниже, вы автоматически соглашаетесь с пользовательским соглашением