Упр.77 ГДЗ Дорофеев Суворова 8 класс (Алгебра)
Решение #1

Рассмотрим вариант решения задания из учебника Дорофеев, Суворова, Бунимович 8 класс, Просвещение:
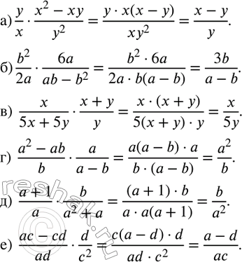
77. Выполните умножение:
а) y/x•(x^2-xy)/y^2 ;
б) b^2/2a•6a/(ab-b^2 );
в) x/(5x+5y)•(x+y)/y;
г) (a^2-ab)/b•a/(a-b);
д) (a+1)/a•b/(a^2+a);
е) (ac-cd)/ad•d/c^2 .
*размещая тексты в комментариях ниже, вы автоматически соглашаетесь с пользовательским соглашением