Упр.77 ГДЗ Никольский Потапов 9 класс (Алгебра)

Решение #1

Изображение 77. Напишите неравенство с коэффициентом 1 при х^2, равносильное неравенству:а) -1/2 (x)^2+3x-5>0   б) (1/3 x)^2-8x+30  г)- 1/4 x^2+1/2...

Решение #2

Изображение 77. Напишите неравенство с коэффициентом 1 при х^2, равносильное неравенству:а) -1/2 (x)^2+3x-5>0   б) (1/3 x)^2-8x+30  г)- 1/4 x^2+1/2...

Рассмотрим вариант решения задания из учебника Никольский, Потапов 9 класс, Просвещение:
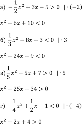
77. Напишите неравенство с коэффициентом 1 при х^2, равносильное неравенству:
а) -1/2 (x)^2+3x-5>0
б) (1/3 x)^2-8x+3<0
в) 1/5 x^2-5x+7>0
г)- 1/4 x^2+1/2 x-1<0

*Цитирирование задания со ссылкой на учебник производится исключительно в учебных целях для лучшего понимания разбора решения задания.
*размещая тексты в комментариях ниже, вы автоматически соглашаетесь с пользовательским соглашением