Упр.795 ГДЗ Дорофеев Суворова 7 класс (Алгебра)
Решение #1

Рассмотрим вариант решения задания из учебника Дорофеев, Суворова, Бунимович 10-11 класс, Просвещение:
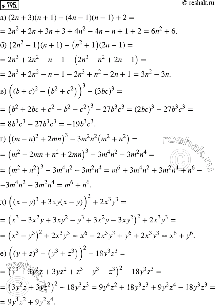
795 Упростите выражение:
а) (2n + 3)(n + 1) + (4n - 1)(n - 1) + 2;
б) (2n2 - 1)(n + 1) - (n2 + 1)(2n - 1);
в) ((b + с)2 - (b2 + с2))3 - (3bс)3;
г) ((m - n)2 + 2mn)3 - 3m2n2(m2 + n2);
д) ((x - y)3 + 3хy(х - y))2 + 2x3y3;
е) ((у + z)3 - (у3 + z3))2 - 18у3z3.
*размещая тексты в комментариях ниже, вы автоматически соглашаетесь с пользовательским соглашением