Упр.799 ГДЗ Макарычев Миндюк 9 класс (Углубленный) (Алгебра)
Решение #1

Рассмотрим вариант решения задания из учебника Макарычев, Миндюк, Нешков 9 класс, Просвещение:
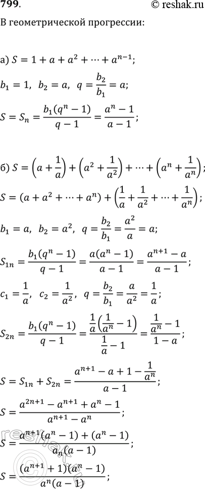
799. Найдите сумму:
а) 1+a+a^2+...+a^(n-1);
б) (a+1/a)+(a^2+1/a^2)+(a^3+1/a^3)+...(a^n+1/a^n).
*размещая тексты в комментариях ниже, вы автоматически соглашаетесь с пользовательским соглашением