Упр.80 ГДЗ Колягин Ткачёва 8 класс (Алгебра)
Решение #1

Рассмотрим вариант решения задания из учебника Колягин, Ткачёва, Фёдорова 8 класс, Просвещение:
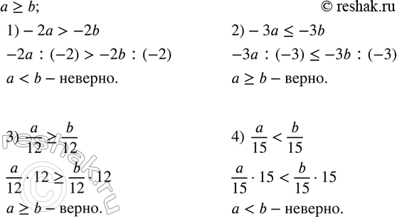
80. Пусть a?b. Верно ли неравенство:
1) -2a>-2b;
2) -3a?-3b;
3) a/12?b/12;
4) a/15
*размещая тексты в комментариях ниже, вы автоматически соглашаетесь с пользовательским соглашением