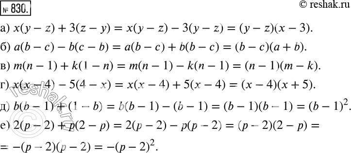
Упр.830 ГДЗ Дорофеев Суворова 7 класс (Алгебра)
Решение #1

Рассмотрим вариант решения задания из учебника Дорофеев, Суворова, Бунимович 10-11 класс, Просвещение:
830 а) х(у - z) + 3(z - у);
б) а(b - с) - b(с - b);
в) m(n - 1) + k(1 - n);
г) х(х - 4) - 5(4 - х);
д) b(b - 1) + (1 - b);
е) 2(р - 2) + р(2 - р).
Образец. Разложим выражение а(х - у) - b(у - х) на множители. Так как у - х = -(х - у), то а(х - у) - b(у - х) = а(х - у) + b(х - у) = (х - у)(а + b).
*размещая тексты в комментариях ниже, вы автоматически соглашаетесь с пользовательским соглашением