Упр.839 ГДЗ Дорофеев Суворова 7 класс (Алгебра)
Решение #1

Рассмотрим вариант решения задания из учебника Дорофеев, Суворова, Бунимович 10-11 класс, Просвещение:
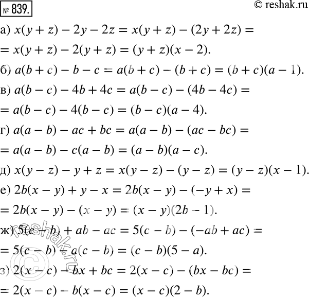
839 Заключите два последних слагаемых в скобки, поставив перед ними знак «-», и затем выполните разложение на множители:
а) х(у + z) - 2у - 2z;
б) а(b + с)- b - с;
в) а(b - с) - 4b + 4с;
г) а(а - b) - ас + bс;
д) х(у - z) - у + z;
е) 2b(х - у) + у - х;
ж) 5(с - b) + аb - ас;
з) 2(х - с) - bх + bс.
*размещая тексты в комментариях ниже, вы автоматически соглашаетесь с пользовательским соглашением