Упр.84 ГДЗ Дорофеев Суворова 8 класс (Алгебра)
Решение #1

Рассмотрим вариант решения задания из учебника Дорофеев, Суворова, Бунимович 8 класс, Просвещение:
84. Выполните умножение или деление:
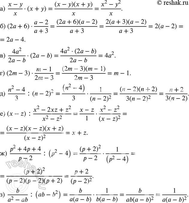
а) (x-y)/x•(x+y);
б) (2a+6)•(a-2)/(a+3);
в) (4a^2)/(2a-b)•(2a-b);
г) (2m-3)•(m-1)/(2m-3);
д) (n^2-4)/3 :(n-2)^2;
е) (x-z) :(x^2-2xz+z^2)/(x^2-z^2 );
ж) (p^2+4p+4)/(p-2) :(p^2-4);
з) b/(a^2-ab) :(ab-b^2 ).
*размещая тексты в комментариях ниже, вы автоматически соглашаетесь с пользовательским соглашением