Упр.841 ГДЗ Никольский Потапов 8 класс (Алгебра)
Решение #1

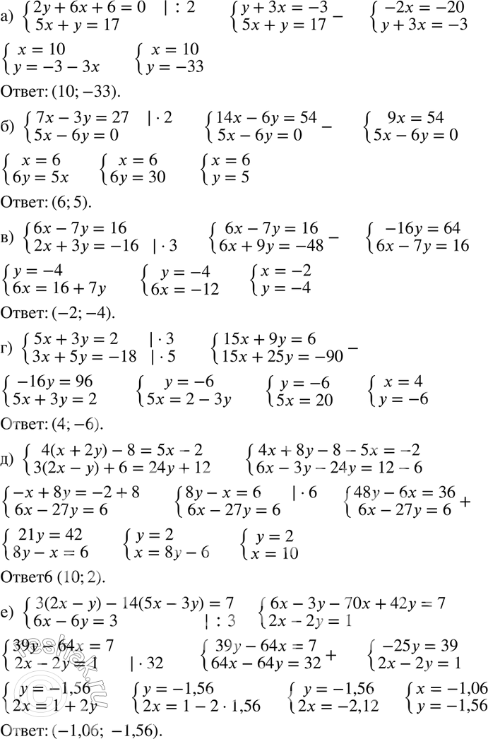
Рассмотрим вариант решения задания из учебника Никольский, Потапов 8 класс, Просвещение:
841 а) система
2y+6x+6=0,
5x+y=17;
б) система
7x-3y=27,
5x-6y=0;
в) система
6x-7y=16,
2x+3y=-16;
г) система
5x+3y=2,
3x+5y=-18;
д) система
4(x+2y)-8=5x-2,
3(2x-y)+6=26y-12;
е) система
3(2x-y)-14(5x-3y)=7,
6x-6y=3.
*размещая тексты в комментариях ниже, вы автоматически соглашаетесь с пользовательским соглашением