Упр.856 ГДЗ Колягин Ткачёва 11 класс (Алгебра)
Решение #1
Решение #2

Рассмотрим вариант решения задания из учебника Колягин, Ткачёва, Фёдорова 11 класс, Просвещение:
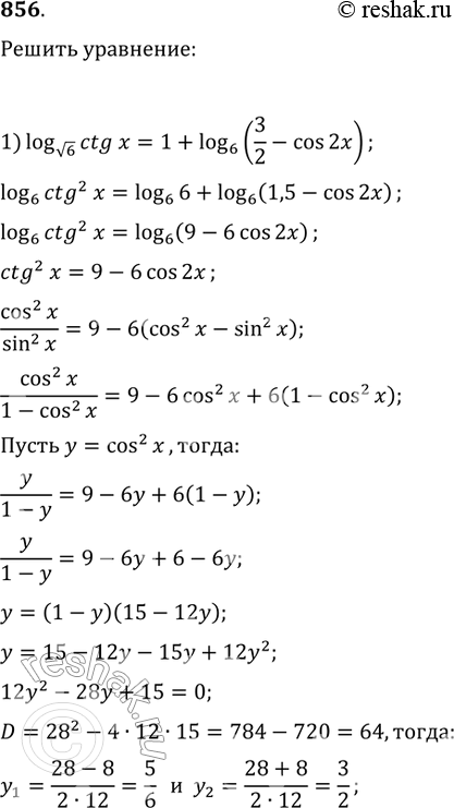
856 1) log корень 6 ctgx = 1+ log6(3/2 - cos2x);
2) log27 (sin2x - 1/3cos) = 1/3 + log3(-cosx).
*размещая тексты в комментариях ниже, вы автоматически соглашаетесь с пользовательским соглашением