Упр.9.11 ГДЗ Мерзляк 11 класс Углубленный уровень (Алгебра)
Решение #1

Рассмотрим вариант решения задания из учебника Мерзляк, Номировский, Поляков 11 класс, Вентана-Граф, Просвещение:
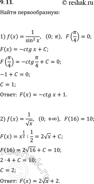
9.11. Для функции f найдите на промежутке I первообразную F, которая принимает данное значение в указанной точке:
1) f(x)=1/sin^2(x), I=(0; п), F(п/4)=0;
2) f(x)=1/vx, I=(0; +бесконечность), F(16)=10;
3) f(x)=1/x, I=(0; +бесконечность), F(1/e)=-2;
4) f(x)=2^x, I=(-бесконечность; +бесконечность), F(5)=1.
*размещая тексты в комментариях ниже, вы автоматически соглашаетесь с пользовательским соглашением