Задание 5 Параграф 9 ГДЗ Рабочая тетрадь 1 Мерзляк Полонский 8 класс (Алгебра)
Решение #1

Рассмотрим вариант решения задания из учебника Мерзляк, Полонская, Якир 8 класс, Вентана-Граф:
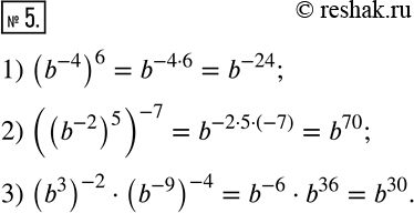
5. Представьте в виде степени с основанием b выражение:
1) (b^(-4) )^6;
2) ((b^(-2) )^5 )^(-7);
3) (b^3 )^(-2)•(b^(-9) )^(-4).
*размещая тексты в комментариях ниже, вы автоматически соглашаетесь с пользовательским соглашением