Упр.910 ГДЗ Никольский Потапов 7 класс (Алгебра)
Решение #1

Рассмотрим вариант решения задания из учебника Никольский, Потапов 7 класс, Просвещение:
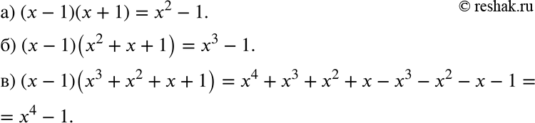
910 Упростите выражение:
а) (х- 1)(х+ 1);
б) (x-1)(x2+x+1);
в) (х - 1)(х3 + x2 + x + 1).
*размещая тексты в комментариях ниже, вы автоматически соглашаетесь с пользовательским соглашением