Упр.94 ГДЗ Дорофеев Суворова 8 класс (Алгебра)
Решение #1

Рассмотрим вариант решения задания из учебника Дорофеев, Суворова, Бунимович 8 класс, Просвещение:
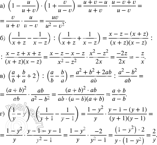
94. Упростите выражение:
а) (1-u/(u+v))•(1+v/(u-v));
б) (1/(x+z)-1/(x-z)) :(1/(x+z)+1/(x-z));
в) (a/b+b/a+2) :(a/b-b/a);
г) (1/y-y)•(1/(y+1)-1/(y-1)).
*размещая тексты в комментариях ниже, вы автоматически соглашаетесь с пользовательским соглашением