Упр.94 ГДЗ Колягин Ткачёва 7 класс (Алгебра)
Решение #1

Рассмотрим вариант решения задания из учебника Колягин, Ткачёва, Фёдорова 7 класс, Просвещение:
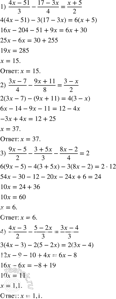
94. Решить уравнение:
1) (4x-51)/3-(17-3x)/4=(x+5)/2;
2) (3x-7)/4-(9x+11)/8=(3-x)/2;
3) (9x-5)/2-(3+5x)/3-(8x-2)/4=2;
4) (4x-3)/2-(5-2x)/3=(3x-4)/3.
*размещая тексты в комментариях ниже, вы автоматически соглашаетесь с пользовательским соглашением