Упр.99 ГДЗ Муравин 7 класс (Алгебра)
Решение #1

Рассмотрим вариант решения задания из учебника Муравин, Муравина 7 класс, Дрофа:
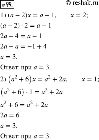
99. Найдите значение а, при котором:
1) число 2 является корнем уравнения (а - 2)х = а - 1;
2) число 1 является корнем уравнения (а^2 + 6)x = а^2 + 2а.
*размещая тексты в комментариях ниже, вы автоматически соглашаетесь с пользовательским соглашением