Вводные упражнения 20 ГДЗ Колягин Ткачёва 7 класс (Алгебра)
Решение #1

Рассмотрим вариант решения задания из учебника Колягин, Ткачёва, Фёдорова 7 класс, Просвещение:
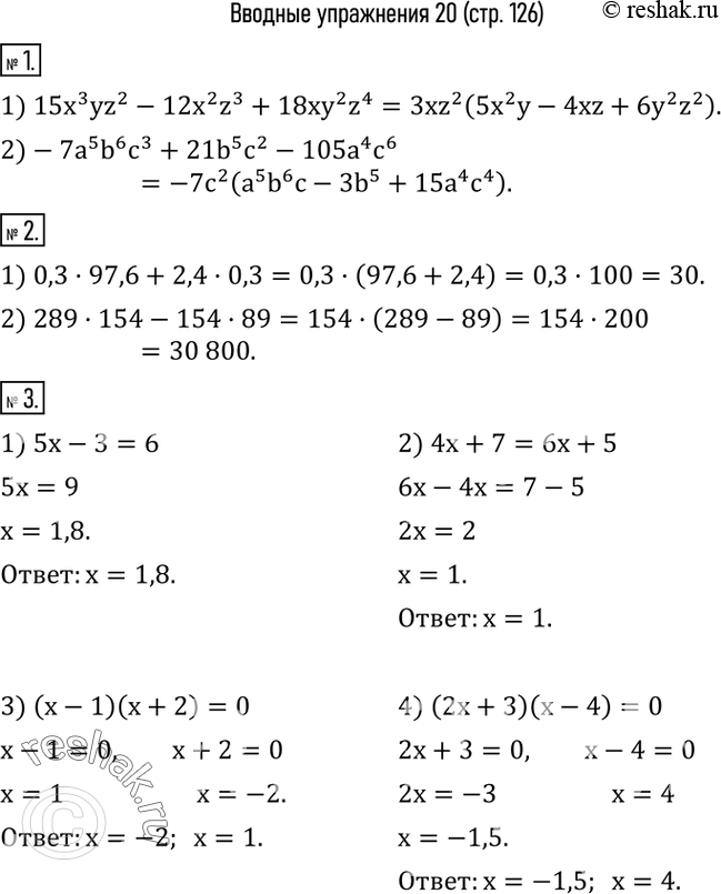
1. Разложить на множители многочлен:
1) 15x^3 yz^2 -12x^2 z^3 +18xy^2 z^4; 2) -7a^5 b^6 c^3 +21b^5 c^2 -105a^4 c^6.
2. Вычислить рациональным способом:
1) 0,3·97,6+2,4·0,3; 2) 289·154-154·89.
3. Решить уравнение:
1) 5x-3=6; 2) 4x+7=6x+5;
3) (x-1)(x+2)=0; 4) (2x+3)(x-4)=0.
*размещая тексты в комментариях ниже, вы автоматически соглашаетесь с пользовательским соглашением