Упр.26.21 ГДЗ Мордкович 7 класс (Алгебра)
Решение #1

Рассмотрим вариант решения задания из учебника Мордкович, Александрова 7 класс, Мнемозина:
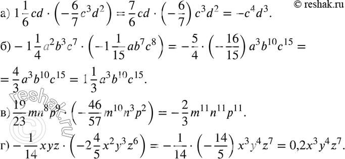
а) 1*1/6*cd*(-6/7&c3d2);
б) -1*1/4(a2b3c7 * (-1*1/15*ab7c8);
в) 19/23*mn8p9 * (-46/57*m10n3p2);
г) -1/14*xyz*(-2*4/5*x2y3z6).
*размещая тексты в комментариях ниже, вы автоматически соглашаетесь с пользовательским соглашением